This website requires JavaScript.
Explore
Help
Sign In
liurui
/
PriceForecast
Template
Watch
1
Star
0
Fork
0
You've already forked PriceForecast
Code
Issues
Pull Requests
Actions
Packages
Projects
Releases
Wiki
Activity
cc199be784
PriceForecast
/
shiyoujiaolvyongdataset
/
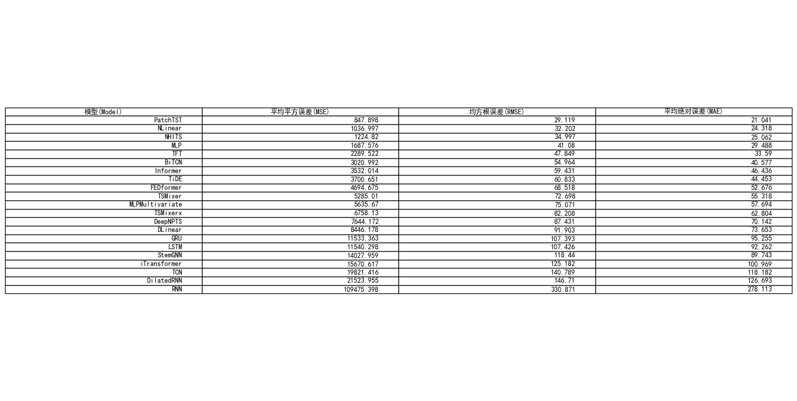
模型评估.png
workpc
cc199be784
20251106发版
2025-11-06 09:13:16 +08:00
75 KiB
1570x790px
Raw
History